El universo de Gödel o métrica de Gödel es una solución exacta de las ecuaciones de campo de Einstein de la relatividad general, propuesta por Kurt Gödel en 1949. Describe un tipo de universo o espacio tiempo homogéneo lleno de materia pulverulenta en rotación … ¿a qué mola?
Aunque no parece que el universo de Gödel describa un tipo de universo similar a nuestro universo, el trabajo de Gödel supuso un gran estímulo en la investigación teórica de búsqueda de soluciones exactas más complejas que las examinadas hasta entonces, caracterizadas por un muy alto grado de simetría. Más tarde Gödel generalizó para hacerlo compatible con la expansión del universo.
Una propiedad matemáticamente interesante del universo de Gödel, es que alrededor de todo punto existen curvas temporales cerradas, lo cual físicamente supone que un observador puede viajar hacia el futuro y llegar a un punto de su pasado, repitiendo cíclicamente este movimiento. Esta propiedad sugiere que esta solución es físicamente poco realista o imposible. Lo sorprendente de la solución de Gödel es que a pesar de esta extraña propiedad el universo está formado por materia convencional no exótica y que si fuera posible dotar a ésta del movimiento de vorticidad que implica la ecuación tendríamos un universo con esta extraña propiedad causal.
De la forma del tensor métrico, se desprende que el vector
, que es de tipo espacial para valores de R pequeños pasa a ser de tipo luminoso para
(es decir, cuando
). Y en este caso el covector
también es de tipo luz (tangente al cono de luz) El círculo con
es una curva luminosa cerrada, aunque no sea una curva geodésica.
Examinando el sistema de referencia anterior, puede verse que la coordenada z puede omitirse. El espacio-tiempo de Gödel es el producto de un factor
con una variedad pseudoriemanniana tridimensional de signatura -++. Dejando a un lado la coordenada z, lo cual equivale a proyectar sobre la variedad tridimensional, la apariencia de los conos de luz cambia a medida que nos separamos del eje de simetría
tal y como muestra la siguiente figura:
A medida que se consideran curvas más cercanas al radio del círculo mencionado anteriormente, los conos llegan a ser tangentes al plano coordenado
y también son tangentes a la a la curva cerrada de tipo luminoso:
En cuanto a la forma de la métrica, la geometría del universo de Gödel viene representada por un espacio-tiempo
, donde la métrica puede representarse en coordenadas pseudocartesianas (t, x, y, z) y unidades en las que c = 1 en la forma:

Donde
0\;” /> es una constante, asociada a la vorticidad, del flujo de materia; además, esta vorticidad puede relacionarse con la densidad de materia de este universo.
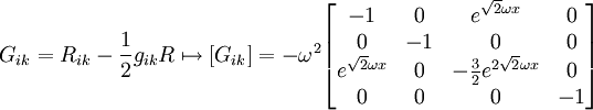
El universo de Gödel es una solución de las ecuaciones de Einstein con constante cosmológica repleto de materia pulverulenta es decir, sin presión p = 0. El tensor gravitacional de Einstein Gij (viene dado por)
![G_{ik} = R_{ik} - \frac{1}{2}g_{ik}R\mapsto [G_{ik}] = -\omega^2 \begin{bmatrix} -1 & 0 & e^{\sqrt{2}\omega x} & 0 \\ 0 & -1 & 0 & 0 \\ e^{\sqrt{2}\omega x} & 0 & -\frac{3}{2}e^{2\sqrt{2}\omega x} & 0 \\ 0 & 0 & 0 & -1 \end{bmatrix}](https://i0.wp.com/upload.wikimedia.org/math/b/c/a/bcaaa24be34ff4cca5cc35da43cc8f5c.png)
Si se toma un valor de la constante cosmológica que cumpla:
0 \;” />
Entonces el tensor de energía-impulso viene dado en las coordenadas (t, x, y, z):

Si
es la expresión de una curva usando el sistema de referencia asociado a las coordenadas de la métrica y del tiempo propio entonces esa curva será geodésica si se cumple que:

De las potencialmente 55 componentes independientes del tensor de Riemann, en las mismas coordenadas usadas en la métrica el tensor de Riemann se puede escribir a partir de sólo cuatro componentes diferentes de cero:

El universo de Gödel tiene un grupo de isometría de dimensión 5, cuya acción de grupo opera transitivamente sobre toda la variedad, y por tanto el universo de Gödel es un espacio-tiempo completamente homogéneo. El grupo de isometría consta de un subgrupo tridimensional de traslaciones:

Los otros subgrupos pueden representarse respectivamente en las coordenadas (t, x, y, z) y (T, R, φ, Z):

Una isometría general del universo de Gödel puede obtenerse combinando un número arbitrario de las anteriores transformaciones.
Referencias usadas en este artículo:
Hawking, Stephen;
and Ellis, G. F. R. (1973): The Large Scale Structure of Space-Time.
Cambridge: Cambridge University Press.
A todo esto … ¿no os parece una hermosa locura? Lo mejor de todo lo anteriormente expuesto no está escrito, ya que forma parte de la historia. Como sabréis (y si no ya lo sabéis) Albert Einstein y Kurt Gödel eran muy amigos. Esto contribuyó a que ambos dieran largos paseos por Princeton y que hablaran de lo divino y lo humano durante horas. El universo de Gödel fue ni más ni menos que una solución exacta a las ecuaciones de campo de Einstein cuya forma matemática es como sigue:

donde:
es el tensor de curvatura de Einstein, que se forma a partir de derivadas segundas del tensor métrico
.
es el tensor de tensión – energía.
, es el número
.
, es la velocidad de la luz.
, es la constante de la gravitación universal.
Esta ecuación se cumple para cada punto del espacio – tiempo. Igualmente, el tensor de la curvatura de Einstein se puede escibir como:

donde:
, es el tensor de curvatura de Ricci.
, es la escalar de curvatura de Ricci.
, es la constante cosmológica.
Bueno, a lo que iba, la cuestión es que el Universo de Gödel contribuyó a hacer dudar seriamente a Einstein de su propia teoría (relatividad general) ¿Por qué? La respuesta es sencilla; como hemos dicho anteriormente, Gödel demostró la existencia de soluciones paradójicas a las ecuaciones de campo de la relatividad general de Albert Einstein. Estos “universos rotatorios” permitían viajar en el tiempo (o utilizar la cuarta dimensión) como ya hemos explicado. Esto era algo que asombraba a Einstein, hasta tal punto que éste confesó al economista Oskar Morgenstern que “su propio trabajo ya no importaba mucho, que llegaba al instituto únicamente para tener el privilegio de caminar a casa junto a Gödel”
Para muchos (entre los que me incluyo yo mismo) tanto Kurt Gödel como Albert Einstein comparten el mérito de ser las mentes más preclaras del pasado siglo XX. El resto de mortales (todos nosotros) nos conformamos con estudiar su obra e intentar comprenderla, aunque esta labor nos lleva años.
Sirva este artículo tan solo para rendir un ínfimo homenaje a las mentes que han contribuido sobremanera al avance de la ciencia y a la mejora de nuestra civilización.

