
Hi all! De nuevo en la brecha, amigos míos … como escribió William Shakespeare en 1598 (Henry V, tercer acto, escena primera) Nosotros somos un poco más de ciencias, isn’t it? De todas formas, no está mal empezar haciendo referencia a una gran maestro de la literatura universal, justo detrás de nuestro Cervantes, por supuesto …
Hoy hablaremos de la gravedad, de la velocidad asociada a la gravedad (no es otra que la de la luz) e incluiremos referencias de un gran matemático, Salvatore Vittorio (B.A. Mathematics, summa cum laude, Pace University, New York, NY)
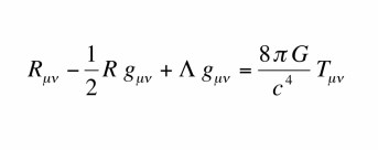
Por cierto, pasaremos de ecuaciones … todo texto … un poco aburrido, pero igualmente necesario.
La gravedad, o fuerza de la gravedad es la atracción mutua entre todas las masas en el universo. La mayoría de los científicos suponen que la gravedad viaja a la velocidad de la luz, que es en realidad la velocidad de propagación de las ondas electromagnéticas (luz) en el vacío. La velocidad de la luz es una constante física igual a exactamente 299.792,458 kilómetros por segundo (km/s) La suposición de que la gravedad también viaja a esa velocidad está implícita en la teoría general de la relatividad de Einstein, formulada en 1915, que reconoce el carácter universal de la velocidad de propagación de la luz y la consiguiente dependencia de espacio, tiempo, y otras medidas mecánicas en el movimiento del observador a la hora de realizar las mediciones. Aunque ésta sigue siendo nuestra mejor hipótesis de trabajo del espacio-tiempo, el concepto que la gravedad se desplaza a la velocidad de la luz es una suposición, y hasta hace poco, nunca había sido probada.
La supuesta velocidad de la gravedad se mantuvo sin probar y sin respuesta durante tanto tiempo porque la mayoría de los físicos pensaban que la gravedad demuestra su velocidad sólo en la propagación de las ondas gravitacionales en el espacio, y ya que nadie ha detectado ondas gravitacionales, medir la velocidad a la que viaja no era posible.
Sir Isaac Newton pensaba que la velocidad de la gravedad era instantánea, y Einstein asumió que viajaba a la velocidad de la luz. Aunque los científicos creen que Einstein tenía razón, durante casi un siglo, nadie había sido capaz de medir directamente la velocidad de la gravedad. Sin embargo, el 8 de septiembre de 2002, un equipo internacional de científicos finalmente lo consiguió, mediante un experimento concebido por Sergei Kopeikin, profesor de física y astronomía en la Universidad de Missouri-Columbia.
Profesor Kopeikin se dio cuenta que la teoría de Einstein podría reformularse de una forma que convirtiera a la gravedad en algo similar a la radiación electromagnética. Los físicos han sabido durante más de un siglo que una carga en movimiento uniforme genera un campo eléctrico constante y magnético cuya fuerza depende de la magnitud de la carga, su velocidad, y la velocidad de la luz. La relación se expresa en lo que todos los físicos conocen como las ecuaciones de Maxwell. En pocas palabras, esto significa que es posible calcular la velocidad de la luz a partir de mediciones del campo eléctrico y magnético de una carga en movimiento, sin tener que detectar directamente las ondas electromagnéticas. De la misma manera, el trabajo de Kopeikin sobre la relatividad general expresa el campo gravitatorio producido por un cuerpo en movimiento en términos de la masa del cuerpo, su velocidad, y la velocidad de la gravedad. Esta información podría ser utilizada para resolver de una forma efectiva la velocidad de la gravedad. La obtención de esta información, sin embargo, no es fácil. Una solución obvia es el uso de una “lente gravitacional”. Esta es el aparente (pero no real) cambio en la posición de un objeto distante celeste que se produce cuando la luz se desvía en el camino a la Tierra cuando los rayos pasan a través del campo gravitatorio de un cuerpo masivo. Si ese cuerpo se está moviendo, la medición del efecto de la lente debe darnos la información que requerimos.
Sin embargo, los problemas no tardaron en aparecer. Los físicos saben reconocer a un cuerpo en reposo o moviéndose a una velocidad uniforme pero en este caso, las ecuaciones que describen la desviación de la luz alrededor de un cuerpo en órbita de rotación se ven totalmente intratables. En 1999 Kopeikin, que estaba entonces en la Universidad de Jena en Alemania, hizo un avance crucial. Para sorpresa de los físicos de todo el mundo, se le ocurrió una solución exacta a estas ecuaciones. En este punto, recordemos que algunos genios han conseguido dar con una solución exacta a las ecuaciones de campo de Einstein. En mi caso, mi preferida es sin duda, el Universo de Gödel, del que ya hablamos en este mismo blog.
Pero sigamos … Estamos en Setiembre, 8, 2002. A pesar del avance de Kopeikin, lo que también se necesitaba es el conocimiento de la masa exacta y la órbita del cuerpo que está otorgando el efecto de la lente a la luz. Aunque el cielo está lleno de estrellas y cúmulos oscuros que se mueven frente a otras fuentes de luz y desvian su luz, no sabemos la masa y la velocidad de la mayoría de estas “lentes cósmicas”. Un cuerpo del que se tiene esta información es el planeta Júpiter. Gracias a sobrevuelos realizados por la Pioneer, Voyager, y Galileo, sabemos la masa del planeta y su velocidad orbital (velocidad alrededor del Sol) con una precisión sin precedentes. Por lo tanto, para encontrar la velocidad de la gravedad, todo lo que necesitamos es una ocasión donde Júpiter se mueva delante de una fuente de luz bien fuerte, otorgando los efectos de la lente a los rayos en su camino a la Tierra.
En el año 2000 Kopeikin calculó la órbita de Júpiter para los siguientes 30 años con los catálogos de las adecuadas fuentes de radio astronómicas (es decir, las fuentes de radiación de radio extraterrestres). Un encuentro cercano de Júpiter con una fuente de radio es un evento raro, ocurre sólo una vez cada década. Afortunadamente, el paso cercano de Júpiter con la fuente de radio cuásar J0842+1835 tuvo lugar el 8 de septiembre de 2002. Kopeikin entonces recurrió a la ayuda de Ed Fomalont, un científico del Observatorio Nacional de Radioastronomía (NRAO) en Charlottesville, Virginia. Unos 20 años antes (cerca de 1976), Fomalont era parte de un equipo que había estado tomando una medición precisa de la curvatura de las ondas de radio cuando éstas pasan cerca del sol. El efecto de lente que planeaban medir causaría que la aparente posición del cuásar J0842 1835 cambiara un poco. El mejor método de medición disponible para realizar este experimento, es observar el quasar con un conjunto de telescopios de radio espaciados lo más lejos posible, debido al hecho de que las ondas de radio viajan a la velocidad de la luz. Por lo tanto, desde el momento en que llegaran las distantes señales de radio a cada telescopio podría suceder que se trabajara en realidad con un posicionamiento erróneo de su localización exacta. En pocas palabras, si un telescopio recibe una señal antes que el otro, el quasar debe estar más cerca del telescopio en el que la señal llegue primero.
Hablemos del VLBA (very long baseline array) y sus problemas potenciales.
Con el fin de hacer sus mediciones lo más exactas posible, Kopeikin y Fomalont se organizaron para tomar medidas teniendo en cuenta el mayor espectro al que se podía tener acceso. El plan era utilizar el más poderoso de los telescopios de radio, el Very Long Baseline Array (VLBA), dirigido por el National Radio Astronomy Observatory (NRAO). El VLBA se compone de una serie de diez radiotelescopios, cada uno de 25 metros de diámetro, que se extiende desde Saint Croix en las Islas Vírgenes de los EE.UU, en el este hasta Mauna Kea, Hawai, en el oeste. A los que agregó el radiotelescopio de 100 metros del Instituto Max Planck en Effelsberg, Alemania, dando una serie que se extendió más de 10.000 kilómetros con la que medir el cambio aparente en la posición del quásar y por lo tanto determinar la velocidad de la gravedad. Esto sería capaz de precisar la posición de un quasar a una precisión de 10 microsegundos de arco, o alrededor de la cinco mil millonésima parte del diámetro de la Luna llena, lo que otorga una resolución tres veces superior a la que nadie había logrado antes, aunque en realidad esto supones el mínimo necesario para ser capaz de decir si la gravedad de Júpiter llega a la Tierra de forma instantánea, viajando a una velocidad infinita, o tiene una cantidad finita de tiempo para el viaje.
Aunque este experimento era posible en principio, en la práctica podría salir mal de muchas maneras. Pequeños cambios en la ubicación de los telescopios, debido a la deriva continental y las variaciones en la tasa de rotación de la Tierra, podrían afectar las mediciones. Más grave aún, el tiempo por encima de cada telescopio podría arruinar por completo las mediciones. A medida que el viento mueve las nubes sobre los diferentes telescopios, la fuente de radio puede fluctuar (del término en inglés jitter, que significa variabilidad temporal durante el envío de señales digitales), enmascarando un efecto mucho menor de la gravedad de Júpiter.
La clave para lidiar con esta incertidumbre era encontrar fuentes cercanas a J0842+1835, que no fueron fotografiadas en Júpiter el 8 de septiembre, pero si lo suficientemente cerca en el cielo para ser sometidas a condiciones atmosféricas. Con una rápida alternancia en las observaciones de varias fuentes de radio, la diferencia de posiciones se puede medir con mucha más precisión que la posición de cada fuente por si mismas. Al final, dos cuásares habían sido elegidos para su uso como fuentes de referencia en el día del experimento.
Cinco días de observación estaban disponibles en el conjunto de telescopios, con una duración de 10 horas. El día crucial, por supuesto, el 8 de septiembre de 2002, cuando el paso cercano de Júpiter a J0842+1835 se produjo a las 16:30, hora del meridiano de Greenwich (GMT); pero eso sólo no habría sido suficiente. Los cuásares son ocasionados por el desmoronamiento de la energía de un agujero negro en el centro de una galaxia, y este fenómeno puede variar con el tiempo. Por lo tanto, las observaciones adicionales se hicieron en los días en los que el efecto del campo gravitatorio de Júpiter en J0842+1835 fuera insignificante. Estas observaciones también se hicieron con el fin de comprobar que las fuentes no eran fluctuaciones de una manera que pudieran confundir a las mediciones.
Tal vez la preocupación más grave se refería a lo que estaba pasando en Júpiter es sí mismo, es decir, en su magnetosfera grande y variable. Se trata de un plasma de electrones de movimiento rápido procedente de los vientos solares que quedan atrapados por el campo magnético de Júpiter. El temor era que las ondas de radio quasar pasando cerca de la superficie del planeta el 8 de septiembre podrían ser deformadas por la magnetosfera. Kopeikin y Fomalont estaban preocupados por el hecho de que si en la magnetosfera eran muy activos, este efecto sería tan grande como la curvatura gravitatoria que estaban buscando. En lugar de resolver este problema mediante la observación en dos frecuencias diferentes al mismo tiempo, que hubieran añadido una complejidad extrema a la experimentación y provocado una alarmante disminución de su exactitud general, Kopeikin y Fomalont decidieron confiar en que el clima de Júpiter sería bueno para las observaciones.
Al final resultó que el clima de Júpiter cooperó, y todo fue bien, hasta la llegada del gran día. El 8 de septiembre, el telescopio en Santa Cruz falló a causa de graves problemas en la cinta de grabación. Por suerte, resultó que los datos de otros telescopios pudieron compensar la pérdida. Aunque Kopeikin y Fomalont también tuvieron que descartar un 15 por ciento de sus datos debido al mal tiempo en la Tierra, con lo que les quedó todavía tenían suficiente para llevar a cabo el análisis. Ellos compararon la posición de J0842+1835 el 8 de septiembre de 2002 con su posición media en los días fuera de la órbita de Júpiter. Colocar estos datos dentro de la fórmula de Kopeikin para el campo gravitatorio del movimiento de Júpiter, les dio la respuesta que estaba buscando. Kopeikin y Fomalont se convirtieron en las dos primeras personas en medir cuantitativamente la velocidad de la gravedad, una de las constantes fundamentales de la naturaleza. Ellos encontraron que la gravedad se mueve a la misma velocidad que la luz. Su cifra real fue de 1,06 veces la velocidad de la luz, pero hubo un error de más o menos 0,21. Los resultados fueron anunciados posteriormente en la reunión del año 2002 de la Sociedad Astronómica Americana en Seattle, Washington.
El resultado descarta la posibilidad de que la gravedad viaje instantáneamente, como Newton imaginó. Si así fuera, un cambio minuciosamente diferente en la posición de los quásares habrían sido visibles en la noche del 8 de septiembre. Esto justifica el instinto de Einstein en la formulación de su teoría de la relatividad general, que iba a suponer que la velocidad de la gravedad es igual a la velocidad de la luz (otra vez Einstein tiene razón … ¿os suena la palabra neutrinos?)
En un futuro se podrán ver esfuerzos teóricos para unificar las fuerzas fundamentales en física con la gravedad teniendo en cuenta la velocidad de la gravedad en sí misma. Durante la próxima década Rusia, Japón y los EE.UU podrán tener éxito en extender las matrices del radio telescopio más allá del diámetro de la Tierra, poniendo grandes radio telescopios en órbita. Los científicos esperan que esto se confirme y aumentar de esta forma considerablemente la precisión del resultado obtenido por Kopeikin y Fomalont.
Sin duda estos experimentos nos llevarán algún día a conocer un poco más sobre nosotros mismos, nuestro mundo y el universo que nos rodea. Pero no será hasta que dentro de unos cuanto años un genio con un simple lapiz y un papel en blanco nos demuestre la interacción de la gravedad en el mundo cuántico, y de esta forma todas las fuerzas queden unificadas en una sola, tal y como sucedió en el segundo 1 después del Big Bang. Personalmente creo que la gravedad es la “madre” de todas las fuerzas. Su repercusión en nuestro mundo es muy débil y podemos vencerla con tan solo sujetar un libro en nuestras manos, pero claro, esto es relativo, ya que la gravedad se reparte a lo largo de los 13.7 billones de años luz de nuestro universo, por lo que yo no llamaría a esta fuerza una fuerza débil. La luz se comporta como onda y como partícula, pero … ¿y si eso es sólo parte de la realidad?
Seguiremos investigando. Tenemos a nuestra disposición el arma más potente jamás creada. El cerebro humano.
